-
首页
-
产品中心
- 光学加工
- 无掩模版紫外光刻机
- 超高精度3D光刻设备
- 光学检测
- 3D显微镜/轮廓仪
- 光电分析设备
- 磁学分析设备
- 加工服务及耗材
- 代加工服务
- 3D光刻材料
- 光刻胶及配套试剂
- 更多产品
- 超低温恒温器
- 激光器
- 光学平台
- 双极性电磁铁电源
- 电输运接线盒
- 显微物镜
-
技术百科
-
客户案例
-
新闻中心
-
关于我们
- 公司简介
- 技术支持
- 在线留言
- 联系我们
-
首页
-
产品中心
- 光学加工
- 无掩模版紫外光刻机
- 超高精度3D光刻设备
- 光学检测
- 3D显微镜/轮廓仪
- 光电分析设备
- 磁学分析设备
- 加工服务及耗材
- 代加工服务
- 3D光刻材料
- 光刻胶及配套试剂
- 更多产品
- 超低温恒温器
- 激光器
- 光学平台
- 双极性电磁铁电源
- 电输运接线盒
- 显微物镜
-
技术百科
-
客户案例
-
新闻中心
-
关于我们
- 公司简介
- 技术支持
- 在线留言
- 联系我们
客户成果丨华南师范大学《ACS Appl. Mater. Interfaces》:接近理论极限的超低亚阈值摆幅双结场效应晶体管
华南师范大学半导体科学与技术学院霍能杰团队在高性能场效应晶体管领域中取得新进展。该研究成果以“Dual-Junction Field-Effect Transistor with Ultralow Subthreshold Swing Approaching the Theoretical Limit”为题发表在《ACS Appl. Mater. Interfaces》期刊上。
随着二维层状材料的快速发展,由二维过渡金属硫族化合物(TMDCs)及其相关材料搭建的范德华异质结构(vdW Heterostructure)在光电检测与传感领域显示出巨大的应用潜力。另一方面,作为集成电路的基本电子器件—金属-氧化物-半导体场效应晶体管(MOSFETs),其性能的优化和功耗的降低一直是科研人员追求的目标。随着晶体管尺寸的不断缩小,导电通道的厚度降低,栅氧层与通道之间的界面电子散射对晶体管性能的影响日益显著。为了解决这一问题,科研人员提出了一种新型的场效应晶体管——范德华异质结场效应晶体管(vdWJFETs),它利用二维半导体材料的范德华界面处的内置电场来调控通道的导电性,而无需MOSFETs中复杂的栅氧层。近日,华南师范大学半导体科学与技术学院半导体科学技术研究院霍能杰团队通过将Te与MoS2结合,提出一种具有Te/MoS2/Te双范德华异质结构的新型场效应晶体管结构。在这项研究中,研究人员开发了一种新型的双结vdWJFET,该器件由MoS2通道和Te纳米片栅极组成。这种新型晶体管实现了超低的亚阈值摆动(SS)和极低的电流迟滞,大大超越了单结vdWJFET的性能。在该晶体管中,SS从475.04 mV dec−1降低到68.3 mV dec−1,接近室温下的理论极限60 mV dec−1。夹断电压(Vp)从-4.5 V降低到-0.75 V,电流迟滞约为10 mV,场效应迁移率(μ)达到36.43 cm2 V−1 s−1。这项工作为实现具有理论理想SS和可忽略电流迟滞的晶体管提供了新的方法,有望推动低功耗电子应用的发展。

图1 (a) Te/MoS2 vdWJFET和Te/MoS2/Te双vdWJFET的光学显微镜图像。(b) Te/MoS2/Te双vdWJFET在Si/SiO2衬底上的三维示意图。(c) Te、MoS2和Te/MoS2异质结的拉曼光谱。(d) Te/MoS2/Te双vdWJFET的原子力显微镜(AFM)图像。(e) Kelvin探针力显微镜(KPFM)图像。(f) Te/MoS2/Te结构异质结的能带排列。
如图1(a)所示,分别制备了基于Te/MoS2和Te/MoS2/Te的单结和双结vdWJFET。图1(b)显示了Si/SiO2衬底上的Te/MoS2/Te双vdWJFET的三维示意图,其中中间的MoS2是传输沟道,顶部和底部的Te充当双结栅极以调节沟道电导。器件的详细制造过程可以在实验部分找到。532 nm激光的拉曼光谱可用于识别MoS2、Te和重叠层(图1(c))。Te的三个拉曼峰分别位于87 cm-1、117 cm-1和135 cm-1。382 cm-1和407 cm-1处的拉曼峰可分别归因于多层MoS2的平面内和平面外模式。如图1(d)所示,使用原子力显微镜(AFM)测量MoS2层和Te层的厚度。底部和顶部Te层的厚度分别为194 nm和104 nm,中间MoS2层的厚度为36 nm。为了进一步研究异质结界面处的能带排列和内建场,用开尔文探针力显微镜(KPFM)测量了沿异质结区域的表面电势分布。详尽的测试和计算方法见补充信息。根据图1(e)所示的KPFM映射,MoS2和Te之间的费米能级差(ΔEF)为220 meV。根据先前的报道,多层Te和MoS2的带隙分别为0.35 eV和1.2 eV,电子亲和力分别为4.5 eV(Te)和4.3 eV(MoS2)。因此,我们在图1(f)中绘制了Te和MoS2的能带图,显示了接触前的I型能带排列。接触后,MoS2和Te的能带分别向上和向下弯曲,形成明显的耗尽区和从MoS2到Te的内置电场

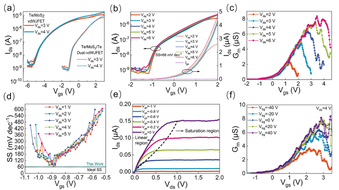
图2.Te/MoS2/Te双vdWJFET的电学特性。(a)Te/MoS2-vdWJFET和Te/MoS2/Te双vdWJFET在3和4V的相同Vds下,以50 mV s-1的速度反向扫描的转移曲线的比较。实线表示Te/MoS2-vdWJFET,而虚线表示Te/MoS2/Te双vdWJFET,显示出可忽略不计的滞后(~10 mV)。(b) Te/MoS2/Te双vdWJFET转移曲线的对数(左y轴)和线性(右y轴)图。栅极电压从- 2 V扫到2 V。(c)Te/MoS2/Te双vdWJFET的Gm作为Vgs的函数曲线。(d) SS值作为Vgs的函数曲线。(e) Te/MoS2/Te双vdWJFET在0 V的Vbg下的输出曲线。Vds从-0.1扫到2 V。(f)Te/MoS2/Te双vdWJFET在不同Vbg时Gm作为Vgs的函数曲线。
我们制造了具有单结和双结vdW异质结结构的 Te/MoS2-vdWJFET和Te/MoS2/Te双vdWJFET。图(a)显示了通过向前和向后扫描Vgs,单和双vdWJFET的传输特性。双vdWJFET的Vp向正Vgs移动,达到-0.75 V的较小值。电流滞后窗口也被抑制为仅约10 mV。此外,双结器件表现出更小的Vgs扫描范围和更陡的亚阈值摆动斜率,与单结器件相比,这意味着更先进的性能。所有这些改进的性能都可以使双vdWJFET在低功耗电子应用中更有前景。图2(b)显示了双vdWJFET在对数(左y轴)和线性(右y轴)坐标中的不同Vds下的传输曲线。栅极-源极漏电流(Igs)在整个测试过程中始终保持低电平(10-10A)。在6 V的Vds下,可以获得21.8 μA的最高沟道电流和5×104的导通/关断比。图2(c)显示了双vdWJFET的Gm作为Vgs的函数,在6 V的Vds下实现了8.35 μS的更大Gm。器件的SS曲线作为Vgs函数如图2(d)所示,最小SS为68.3 mV dec-1,这远低于最新报道的基于2D材料的JFET,并且由于理想的栅极控制而接近理论极限值(60 mV dec-1)。Te/MoS2/Te双vdWJFET的输出特性如图2(e)所示,可以清楚地划分线性和饱和区域,显示出优异的电流饱和特性。此外,经计算,双vdWJFET的迁移率(μ)为36.43 cm2 V-1 s-1,高于单vdWJFET(29.08 cm2 V-1 s-1)。

图3(a)相同Te/MoS2/Te结构的不同器件的主要参数(SS和Vp)的条形图比较。(b)Te/MoS2/Te双vdWJFET与近五年中报告的先进JFETs性能的比较。
为了研究Te/MoS2/Te双vdWJFET在室温下的可重复性,我们制造了几种具有相同结构的器件。图3(a)显示了不同设备之间的电学特性(Vp和SS)的比较。然后,图3(b)显示了我们的Te/MoS2/Te双vdWJFET与最新报道的JFET之间的性能比较,展示了双vdWJFET架构在为低功耗高性能晶体管电子应用中的优势。
该工作中通过使用TuoTuo Technology的紫外无掩膜光刻机(UV maskless lithography machine)做了器件电极图案绘制工作。
华南师范大学半导体科学与技术学院硕士生陈薪好和巢湖学院李莎莎老师为文章的共同第一作者,华南师范大学半导体科学与技术学院霍能杰教授、孙一鸣副研究员为论文的共同通讯作者。
