-
首页
-
产品中心
- 光学加工
- 无掩模版紫外光刻机
- 超高精度3D光刻设备
- 光学检测
- 3D显微镜/轮廓仪
- 光电分析设备
- 磁学分析设备
- 加工服务及耗材
- 代加工服务
- 3D光刻材料
- 光刻胶及配套试剂
- 更多产品
- 超低温恒温器
- 激光器
- 光学平台
- 双极性电磁铁电源
- 电输运接线盒
- 显微物镜
-
技术百科
-
客户案例
-
新闻中心
-
关于我们
- 公司简介
- 技术支持
- 在线留言
- 联系我们
-
首页
-
产品中心
- 光学加工
- 无掩模版紫外光刻机
- 超高精度3D光刻设备
- 光学检测
- 3D显微镜/轮廓仪
- 光电分析设备
- 磁学分析设备
- 加工服务及耗材
- 代加工服务
- 3D光刻材料
- 光刻胶及配套试剂
- 更多产品
- 超低温恒温器
- 激光器
- 光学平台
- 双极性电磁铁电源
- 电输运接线盒
- 显微物镜
-
技术百科
-
客户案例
-
新闻中心
-
关于我们
- 公司简介
- 技术支持
- 在线留言
- 联系我们
客户成果丨华南师范大学《Journal of Materials Chemistry C》:用于光电探测器的高产率PbI2微晶
近日,来自华南师范大学半导体科学与技术学院陈洪宇课题组在PbI2基光电探测器领域取得最新进展,该研究成果以 “Kilogram-scale high yield production of PbI2 microcrystals for optimized photodetector” 为题在 Journal of Materials Chemistry C 期刊发表了论文。

在过去的几十年中,二维层状材料在电子器件和光电子器件中取得了巨大成功。其中,PbI2是一种具有直接带隙的二元化合物,在2D材料家族中备受关注。PbI2不仅是高性能X/γ射线探测器的优秀候选材料,也是二维钙钛矿的前驱体。近期,低维PbI2还被开发用于高性能光电探测器,在光学通信、成像、医疗诊断和监测等方面具有潜在应用。目前PbI2微晶的合成技术主要包括物理气相沉积法、机械剥离法和液相生长法。然而,这些方法的产量较低,难以满足实际应用的需求。
该项研究介绍了一种从废旧铅酸电池中回收原料高效合成千克级PbI2微晶体的新方法,并利用金电极和石墨烯制备了高性能的PbI2光探测器。其中,不对称的Au-PbI2-Graphene光探测器表现出高灵敏度、大开/关比、快速响应时间和高探测度等显著性能。这项研究不仅提出了高效生产PbI2微晶体的方法,也展示了PbI2在光电器件中的优异性能,为PbI2微晶体在光电器件领域的研究和应用奠定了基础。

图1. (a) 合成的PbI2微晶的拉曼光谱随温度的变化;(b) A1g、Au(1LO)、A1g+Eg和A2u(2LO)模式的拉曼位移随温度的变化。
在测试温度从-20°C升高到250°C的过程中,PbI2微晶的拉曼光谱中观察到明显的拉曼强度衰减和红移现象。热诱导晶格膨胀可能是拉曼峰红移的主要原因,声子的力常数随温度的升高而减小,这为进一步研究PbI2的热物理性质提供了基础。

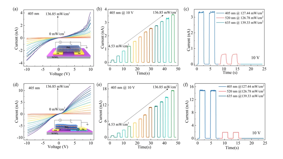
图2. (a) Au-PbI2-Au光电探测器在不同光强405 nm照射下的I-V和 (b) I-T曲线; (c) Au-PbI2-Au光电探测器在不同波长(405 nm,520 nm和635 nm)照射下的I-T曲线; (d) Au-PbI2--Graphene光电探测器在405 nm光照射下的I-V和 (e) I-T曲线;(f) Au-PbI2-石墨烯器件在不同波长(405 nm、520 nm和635 nm)光照射下的I-T曲线。
图2展示了两种不同结构的光探测器Au-PbI2-Au和Au-PbI2-Graphene在405 nm激光照射下的I-V和I-T曲线。结果表明,两种探测器有较低的暗电流约为0.4 pA和1.3 pA。随着照射强度的增加,两种探测器的光电流明显增加。特别是,引入了石墨烯电极的Au-PbI2-Graphene探测器在相同的光强下,其光电流可达到Au-PbI2-Au探测器的3-4.8倍。这表明石墨烯电极的引入改善了与PbI2的接触,并促进了光生载流子的收集。这些结果表明,Au-PbI2-Graphene探测器具有更优越的光电性能。
总之,这项工作提出了以废铅酸蓄电池为原料制备公斤级PbI2样品的高产策略,并引入石墨烯和Au电极来研制对称和不对称的PbI2基光探测器。具有较大功函数的金电极可以降低器件的暗电流,而带有PbI2的van der Waals石墨烯电极可以促进光电探测器的载流子传输和收集。在10V电压下,Au-PbI2-石墨烯光电探测器的响应度为314 mA/W,大开关比为13435,快上升/快衰减时间为31 ms/31 ms,较高的探测率为3.23 × 1011Jones。本研究不仅提出了一种生产PbI2的高产方法,而且展示了PbI2的独特特性,为今后的研究奠定了坚实的基础。
该工作中通过使用 TuoTuo Technology 的无掩膜紫外激光直写系统刻制了电极。
作者信息介绍:华南师范大学半导体科学与技术学院硕士生孙慧如为第一作者,南方科技大学苏龙兴副教授、华南师范大学陈洪宇副研究员和中南大学刘芳洋教授为共同通讯作者。
原文详情:H. Sun, L. Su, Q.Zeng, Y. Pan, Z. Guo, K. An, Z. Xia, Z. Huang, F. Liu and H. Chen, J. Mater. Chem. C, 2024, DOI:10.1039/D4TC00966E.