-
首页
-
产品中心
- 光学加工
- 无掩模版紫外光刻机
- 超高精度3D光刻设备
- 光学检测
- 3D显微镜/轮廓仪
- 光电分析设备
- 磁学分析设备
- 加工服务及耗材
- 代加工服务
- 3D光刻材料
- 光刻胶及配套试剂
- 更多产品
- 超低温恒温器
- 激光器
- 光学平台
- 双极性电磁铁电源
- 电输运接线盒
- 显微物镜
-
技术百科
-
客户案例
-
新闻中心
-
关于我们
- 公司简介
- 技术支持
- 在线留言
- 联系我们
-
首页
-
产品中心
- 光学加工
- 无掩模版紫外光刻机
- 超高精度3D光刻设备
- 光学检测
- 3D显微镜/轮廓仪
- 光电分析设备
- 磁学分析设备
- 加工服务及耗材
- 代加工服务
- 3D光刻材料
- 光刻胶及配套试剂
- 更多产品
- 超低温恒温器
- 激光器
- 光学平台
- 双极性电磁铁电源
- 电输运接线盒
- 显微物镜
-
技术百科
-
客户案例
-
新闻中心
-
关于我们
- 公司简介
- 技术支持
- 在线留言
- 联系我们
客户成果丨河南师大《Nano Research》:基于ZnOTe异质结的无栅介质结型场效应晶体管,用于超低功耗的紫外光电探测器和逻辑反向器
河南师范大学物理学院夏从新教授团队在结型场效应晶体管(JFET)领域取得最新进展,该研究成果以"Junction field-effect transistors based on ZnO/Te heterostructure for UV photodetector and logic inverter with ultralow power consumption"为题发表在《Nano Research》期刊上。

为实现晶体管低阈值摆幅(SS)以降低工作电压和功耗,传统金属氧化物半导体场效应晶体管(MOSFET)需进行复杂的介电工程优化,这一直是重大技术挑战。本研究基于碲/氧化锌(Te/ZnO)范德瓦尔斯异质结设计了一种无栅介质结型场效应晶体管(JFET),该器件展现出优异的p-n二极管特性,整流比超过106。以Te作为栅极、ZnO作为沟道,Te/ZnO JFET表现出卓越性能:开关比达106,栅极漏电流低至800 fA,-0.31 V的小夹断电压,以及65 mV dec-1的接近理论极限(60 mV dec-1)的最小亚阈值摆幅。在375 nm激光照射下,器件实现了160 A W-1的高响应度和9×1011 Jones的比探测率。此外,基于该器件构建的逻辑逆变器表现出35的高增益和6.5 nW的超低功耗。该研究为低功耗高性能电子器件提供了新的技术路径。

图1. ZnO/Te 型场效应晶体管的构建及表征。(a)ZnO/Te结场效应晶体管结构示意图。(b)对应光学显微镜图像。(c)ZnO/Te结场效应晶体管原子力显微镜图像。(d)ZnO/Te结场效应晶体管截面透射电镜图像及其对应的EDS元素分布图图像。(e)光致发光光谱对比:原始材料氧化锌与ZnO/Te结场效应晶体管。(f)砷化物Te与材料氧化锌的拉曼光谱

图2. ZnO/Te结型场效应晶体管的电学特性。(a)左右两侧ZnO/Te异质结的对数坐标Ids-Vds曲线。(b)Vds电压从0.3 V到2.1 V范围内的转移特性曲线。(c)ZnO/Te结型场效应晶体管的栅极漏电流。(d)ZnO/Te结型场效应晶体管的亚阈值摆幅(SS)随Vgs变化的函数关系。(e)ZnO/Te结型场效应晶体管在-0.4至0.4 V Vgs下的输出特性曲线。(f)转导系数(Gm)随Vgs变化的函数关系

图3. ZnO/Te结型场效应晶体管的光电探测特性。(a)ZnO/Te结场效应晶体管在375 nm激光照射及暗态条件下的转移曲线。(b)ZnO/Te结场效应晶体管在375 nm激光照射下,其光电流密度Gm随栅源电压Vgs的变化关系。(c)不同栅源电压下光电流随光功率密度的变化关系. (d)指数α函数对Vgs进行拟合。(e)375 nm紫外光照射下由栅源电压Vgs调制的探测效率与响应度。(f)-(g)ZnO/Te结场效应晶体管在375 nm紫外光照射下,栅源电压-Vgs=-3 V和0 V时的电流-时间曲线。(h)ZnO/Te结场效应晶体管转移特性随温度变化的测量结果。(i)随温度从303升至423 K时,转移曲线的击穿电压(Vp)变化情况

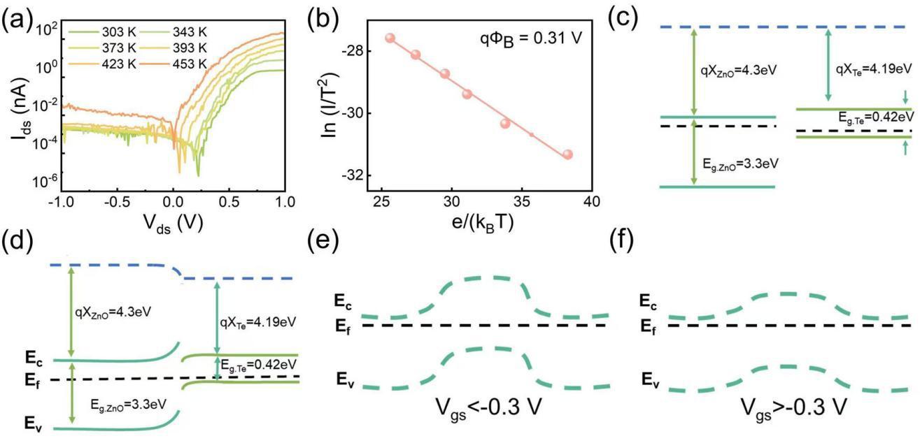
图4.能带机制分析。(a)ZnO/Te结型场效应晶体管在303至453 K温度范围内的温度依赖性I-V曲线。(b)ln(I/T2)与e/(kBT)的理查森图,势垒参数qΦB(~0.31 eV)由线性拟合斜率确定。(c)-(d)氧化锌与碲界面接触前后的能带对齐情况。II型ZnO/Te异质结的能带图示:(e)栅源电压Vgs < -0.3 V时;(f)栅源电压Vgs > -0.3 V时

图5.逻辑应用(a)-(b) 375纳米光照下ZnO/Te结型场效应晶体管的结构示意图及电流分布。(c)不同输入逻辑状态下的或门输出特性曲线随时间变化。(d)由ZnO/Te结型场效应晶体管与4000Ω外部电阻组成的反相器(插图电路)在VDD = 1-5 V供电电压下的VOUT-VIN特性曲线。(e)不同VDD电平下的增益表现。(f)不同VDD 条件下的P值变化。(h)在VDD = 1 V条件下,采用100 Hz方波输入1 V和0 V信号时,从(g)图获得的动态输出电压响应。(i)其他结型场效应晶体管的增益与p值对比图表
综上所述,我们成功设计并制备了以ZnO为导电沟道的Te/ZnO异质结p-n二极管与结型场效应晶体管(JFET)。该Te/ZnO异质结展现出卓越的整流特性:整流比高达106,反向电流低至皮安量级。采用超薄Te作为栅极的ZnO JFET表现出优异的晶体管特性,包括超过106的高开关比、-0.31 V的小夹断电压、65 mV/dec的超低亚阈值摆幅、皮安级栅极漏电流,以及出色的高温稳定性和长期空气稳定性。在375 nm激光照射下,通过顶栅调制实现了160 A/W的高响应度和9×1011 Jones的高探测率。基于此Te/ZnO JFET,我们还成功构建了逻辑或门和超低功耗反相器。因此,我们的Te/ZnO JFET可成为低功耗高性能集成电路应用的重要候选器件。
该工作通过使用TuoTuo Technology的无掩模光刻机完成了电极图案光刻过程。
作者信息:河南师范大学物理学院宋孝辉副教授为论文的第一作者,河南师范大学物理学院夏从新教授为论文的通讯作者。该项目受到国家自然科学基金,河南省自然科学基金等项目的项目的资助。
论文链接:https://www.sciopen.com/article/10.26599/NR.2025.94907732