-
首页
-
产品中心
- 光学加工
- 无掩模版紫外光刻机
- 超高精度3D光刻设备
- 光学检测
- 3D显微镜/轮廓仪
- 光电分析设备
- 磁学分析设备
- 加工服务及耗材
- 代加工服务
- 3D光刻材料
- 光刻胶及配套试剂
- 更多产品
- 超低温恒温器
- 激光器
- 光学平台
- 双极性电磁铁电源
- 电输运接线盒
- 显微物镜
-
技术百科
-
客户案例
-
新闻中心
-
关于我们
- 公司简介
- 技术支持
- 在线留言
- 联系我们
-
首页
-
产品中心
- 光学加工
- 无掩模版紫外光刻机
- 超高精度3D光刻设备
- 光学检测
- 3D显微镜/轮廓仪
- 光电分析设备
- 磁学分析设备
- 加工服务及耗材
- 代加工服务
- 3D光刻材料
- 光刻胶及配套试剂
- 更多产品
- 超低温恒温器
- 激光器
- 光学平台
- 双极性电磁铁电源
- 电输运接线盒
- 显微物镜
-
技术百科
-
客户案例
-
新闻中心
-
关于我们
- 公司简介
- 技术支持
- 在线留言
- 联系我们
光谱之美:你所不知道的色彩魔法(上)
01 引言

(图片来源于百度)
在光与物质的奇妙互动中,荧光扮演着独特的角色。荧光不仅美化了我们的世界,更为科学研究提供了无尽的灵感。那么,荧光究竟是什么,又为何如此重要?
本期,就让TuoTuo科普带大家一起探索这个迷人的领域,领略荧光背后的奥秘。
02 什么是荧光现象?
荧光现象是指某些物质在特定波长的光照下,吸收光能后发射出比照射光波长更长的光的现象。在这个过程中,该物质只发出荧光而不吸收光。大多数情况下,发出的光波长比吸收的光波长要长,而且能量更低。该现象是由物质内部电子特定能级之间的跃迁引起的。物质在吸收光能后,电子从低能级跃迁到高能级,随后在高能级不稳定时释放出光子又回到低能级。
荧光现象在生活中频繁出现,如荧光水母,荧光棒等,此外,在化学、生物学、医学等领域都有广泛的应用。
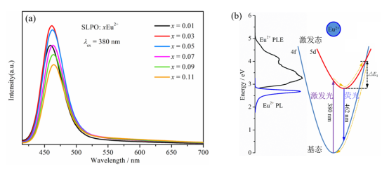
图(a)SLPO: Eu荧光粉体的光谱曲线;图(b)SLPO: Eu荧光粉体中Eu2+的能级跃迁图
以荧光粉体中铕离子(Eu2+)发光举例:当380 nm紫外光照射在物质表面上时,Eu2+会吸收光的能量,电子从基态跃迁到激发态,一部分电子会通过5d 和 4f 能级的交叉点回到基态,一部分电子会直接从激发态能级回到基态能级,期间释放能量,产生462 nm荧光发射。
03 荧光光谱mapping成像
荧光光谱mapping成像是一种结合荧光光谱技术和成像技术的分析方法,利用不同物质在特定波长光激发下会发出不同荧光光谱的特性,通过测量这些荧光光谱并进行解析,获得每个像素点的荧光光谱数据,最终形成一幅反映目标表面荧光分布情况的图像。

图(a)WS2的显微图,图(b)为WS2的光谱mapping成像
荧光光谱mapping成像在化学分析、生物医学、环境监测等领域具有广泛的应用前景。在化学分析领域,可以对化学反应过程进行实时监测和分析;在生物医学领域,可以对生物组织中的化学成分进行检测分析,从而实现对疾病的早期诊断和治疗。
04 荧光寿命mapping成像

(图片来源于百度)
当某种物质被一束激光激发后,该物质的分子吸收能量后从基态跃迁到某一激发态上,再以辐射跃迁的形式发出荧光回到基态。当去掉激发光后,分子的荧光强度降到激发时的荧光最大强度I0的1/e所需要的时间,称为荧光寿命,常用τ表示。
荧光寿命mapping成像是一种基于荧光寿命测量的成像技术,它通过对目标样品进行荧光激发和测量,利用时间相关单光子计数器(TCSPC)获取每个像素点的荧光寿命曲线,拟合计算出荧光寿命值,从而得到荧光寿命图像。

图(a)单点荧光寿命曲线,图(b)荧光寿命成像
该技术具有高分辨率、高灵敏度和非侵入性等优点,因此在生物医学、化学分析、环境监测等领域具有广泛的应用前景。在生物医学领域,能够利用荧光寿命mapping成像技术对生物组织中的荧光标记物进行检测和分析,从而实现对肿瘤、炎症、感染等疾病的早期诊断和治疗。
05 托托科技多模态光电显微镜的发展路线
托托科技是一家快速成长的技术驱动型企业,专注于光学显微加工及光学显微检测的光学仪器设备制造。
托托科技自主研发生产的多模态光电显微镜,通过电动化方案,将紫外-可见-近红外-中红外光源(261 nm - 10 μm)集成到系统中,实现低温磁场环境下对亚微米级样品的超宽光谱激发。在光电光谱多维度测试软件的加持下,能够将光电领域主流电学仪表、光谱仪、TCSPC进行控制,协同作用,从而对光电材料器件的光电流Mapping成像、伏安特性曲线、转移曲线、输出曲线、交变电流、磁电阻、霍尔信号、荧光光谱Mapping成像、荧光寿命Mapping成像、拉曼光谱等进行快速精确测试。具有高稳定性、高分辨率、高兼容性等众多优点,为微纳器件的光电性能表征提供更多的可能性。
06 托托科技多模态光电显微镜
托托科技烛龙®系列多模态光电显微镜,将光、电、热、力、磁等物理量集于一身,实现对样品的多维度光电流光谱测试。
在探索了荧光的奥秘、荧光光谱的特色以及荧光寿命的重要性之后,我们不禁对大自然的奇妙深感敬畏。荧光现象不仅美化了我们的世界,还为科学研究和技术应用提供了丰富的素材。我们深信这些知识对大家一定有所启发和帮助。
下期我们将带来更精彩的拉曼技术介绍,敬请期待!如果您有任何问题或建议,欢迎随时与我们联系。

